专注动物矿物元素营养与健康

关注公众号 关注视频号

联系电话400-027-1997

联系电话19183816468

j9官网-新闻中心

热搜关键词: 蛋鸡饲料添加剂厂家 生物饲料添加剂 添加剂饲料 饲料添加剂厂家

蛋氨酸锌在家禽生产中的应用

来源:j9官网微营养 | 发布日期:2021-08-21

蛋氨酸锌

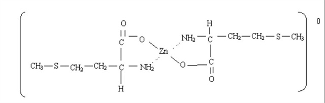
  蛋氨酸锌是由蛋氨酸和无机锌以2:1的摩尔比例在特定条件下反应,生成的具有独特环状结构的金属螯合物,为白色或类白色粉末,极微溶于水。

饲料添加剂

  与无机锌相比,蛋氨酸锌具有生物学效价高、双重营养功能、毒副作用小等生物学特征,能显著提高机体抗应激能力及免疫功能、最大程度发挥动物生产和繁殖性能。近年来,蛋氨酸锌在家禽生产中的应用取得了较好效果,可以促进家禽生长、提高产蛋率、改善蛋壳品质、降低家禽粪便中重金属排放、减少对环境的污染。

1、促进生长

  Dudley等发现,蛋氨酸锌可显著改善肉鸡饲料转化率、胸肉量、骨灰分含量、降低病死率,且添加量仅为硫酸锌用量的1/3。崔艳红和虞泽鹏等研究表明,与硫酸锌相比蛋氨酸锌可以提高肉鸡生长速度,尤以饲养前中期效果明显。饲粮中缺锌会导致家禽生长缓慢、日增重降低、料肉比增高,而添加蛋氨酸锌等有机形式的锌可以改善其在体内的吸收、贮存、释放,从而满足机体的营养需求,增强家禽机体免疫力、抗应激能力,最大程度的发挥家禽生产性能。

2、改善蛋壳品质、提高产蛋量

  产蛋率是蛋鸡生产性能中最重要的指标,直接影响经济效益,蛋壳质量是关系蛋品质及食品安全的关键指标,也是影响经济效益的重要因素。研究表明,蛋氨酸锌可提高蛋鸡产蛋率、降低料蛋比、有效改善蛋壳质量、增加蛋壳厚度。Jackson等以63-88周蛋鸡为试验对象,发现饲粮中添加蛋氨酸锌可显著提高蛋鸡后期产蛋率和平均蛋重,降低料蛋比。张亚男等研究表明,蛋氨酸锌能在一定程度上改善蛋壳质量、增加蛋壳厚度、提高蛋品质。蛋氨酸锌之所以能提高产蛋量、改善蛋壳品质主要因为蛋壳形成过程中,锌作为碳酸酐酶(CA)的重要组成部分,促进CA的合成,增加蛋壳腺内碳酸氢根(HCO3-)的分泌,促进碳酸钙的沉积,从而改善蛋壳变厚。

3、减少粪便中重金属含量

  随着规模化、集约化畜牧业养殖的发展,畜禽排泄物中重金属对土壤的污染日益凸显,不仅影响植物生长,还通过食物链蓄积最终危机人类。Bao等和Dudley等研究表明,在不影响肉鸡生产性能的前提下,肉鸡饲粮中添加蛋氨酸锌降低锌的添加量,随粪便排出体外的锌含量降低,从而减轻重金属对环境的污染。j9官网集团技术中心在AA肉鸡上用不同水平的有机微量元素分别和无机微量元素做对比,发现低剂量有机微量元素不影响肉鸡的生产性能,而微量元素的排出量显著降低,如下图所示:

饲料添加剂

  总之,当前微量元素减量应用的背景下,蛋氨酸锌由于其稳定性和高生物学利用率、添加量低等特点,在家禽营养上应用越来越普遍。

  四川j9官网生物科技集团有限公司,在全球拥有近2000家客户,产品覆盖30多个国家和地区。涉及添加剂饲料,生物饲料添加剂,蛋鸡饲料添加剂,市场占有率达20%。

参考文献:

  [1] Dudley Dash W A.Organic farms of zinc may provide additional benefits in poultry[J].Feedstuffs,1997,11:10-11.
  [2] 崔艳红,刘保国,王艳荣. 不同水平的蛋氨酸锌对肉用仔鸡生产性能和免疫的影响[J].饲料工业,2009,30(2):34-36.
  [3] 虞泽鹏,吴晋强. 不同锌源对肉用仔鸡生产性能及部分生理生化指标的影响[J].饲料研究,2002,(12):1-3.
  [4] Jackson M E,Zhong C.The bioefficiency complexed mineral products on the performance of laying hen on the temperature[J].Poult Sci,1997,(1):18
  [5] Bao Y M,Choct M,Iji P A,et al.Effect of organically complexed copper,iron,manganese,and zinc on broiler performance,mineral excretion,and accumulation in tissues[J].J Appl Poult Res,2007,16(3):448-455.
  [6] 张亚男, 武书庚, 张海军, 等. 锌添加水平对蛋鸡生产性能和蛋壳品质的影响[J]. 动物营养学报, 2013(5):1093-1098.

【本文标签】 j9官网 饲料添加剂

【责任编辑】

最新资讯

sitemap地图